你好,游客
登录
注册
搜索
首页
新闻动态
政策文件
招生计划
考试大纲
录取分数
成绩查询
经验交流
疑问解答
试题资料
活动专题
讨论区
辅导班介绍
首页
→
新闻动态
→
招考动态
背景:
阅读新闻
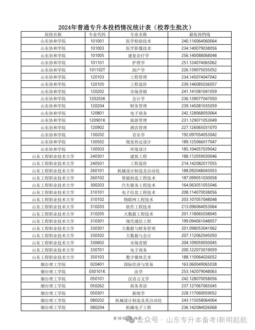
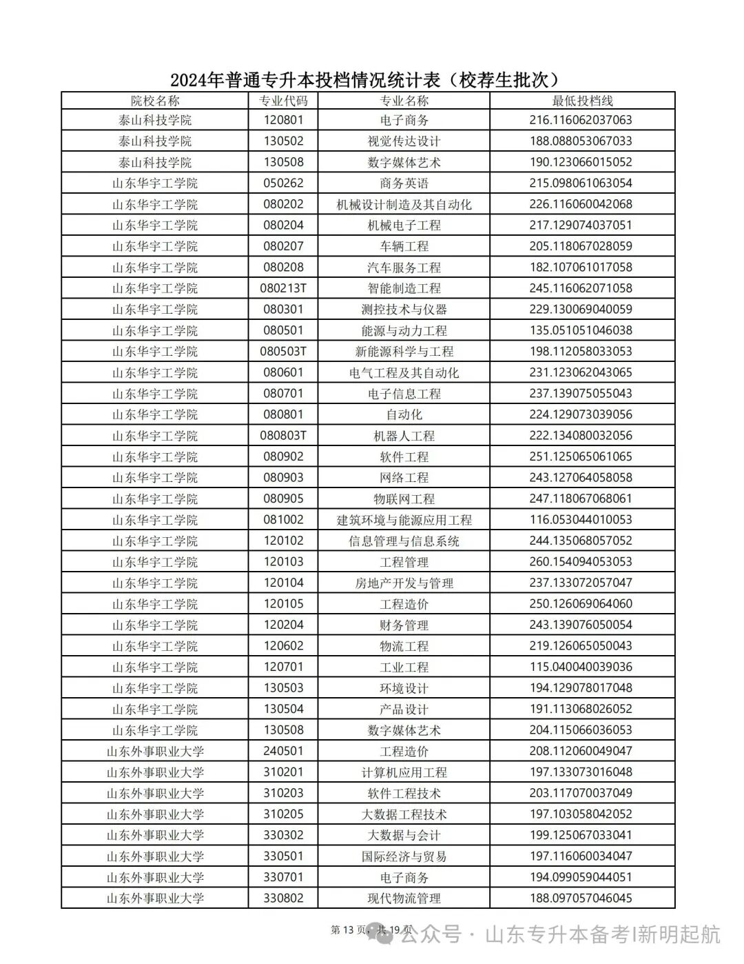
2024年普通专升本投档情况统计表(校荐生批次)
[日期:2024-04-30]
来源:山东省招生考试院 作者:山东省招生考试院
[字体:
大
中
小
]
0
顶一下
收藏
推荐
打印
| 录入:
admin
| 阅读:
次
志愿填报今日开始!Are you ready?
2024年普通专升本投档情况统计表(建档立卡家庭考生批次)
相关新闻
2024
专升本
2026年普通专升本投档情况统计表(
(
今 14:43
)
关于山东省2026年普通专升本志愿填
(04月21日)
山东专升本|等成绩的日子,做好这5
(04月11日)
2026年普通专升本投档情况统计表(
(
今 14:30
)
2026年山东专升本丨查分必看
(04月19日)
本文评论
查看全部评论
(0)
表情:
姓名:
匿名
字数
点评:
同意评论声明
发表
评论声明
尊重网上道德,遵守中华人民共和国的各项有关法律法规
承担一切因您的行为而直接或间接导致的民事或刑事法律责任
本站管理人员有权保留或删除其管辖留言中的任意内容
本站有权在网站内转载或引用您的评论
参与本评论即表明您已经阅读并接受上述条款
Digg排行
3
2025年山东专升本考试丨招生计划
3
2025年山东专升本招生计划
3
2024年山东专升本考试报名流程
2
关于山东省2025年普通专升本考试
2
33所丨2025年山东专升本自荐测试
2
9所丨2025年山东专升本自荐测试
2
大纲对比丨2025-2024年山东专升
2
考试大纲丨山东省2025年专升本考
2
2024年山东专升本院校档案转接通
2
2024年普通专升本投档情况统计表
热门评论